Algebra Formulas
Algebra Formulas
The official app & game
Distributed by UptoPlay
SCREENSHOTS
DESCRIPTION
Use UptoPlay to play online the game Algebra Formulas.
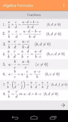
Algebra formulas is a free app to help solve your algebra problems.
It contains the most used algebra formulas.
Learn math the easy way!
Solve any algebra problem with our algebra formulas application.
Algebra formulas for:
Numbers
Set Operations
Logical Operations
Elementary Operations
Fractions
Square
Root
Binomial Formulas
Distance Formula
Logarithm
Enjoy with UptoPlay the online game Algebra Formulas.
ADDITIONAL INFORMATION
Developer: profamath
Page navigation:

